2. 部分分式

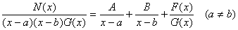
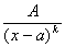
任一既约真分式(分子与分母没有公因子,分子次数低于分母次数)都可唯一地分解成形如的基本真分式之和,其运算称为部分分式展开.若为假分式(分子次数不低于分母次数),应先化为整式与真分式之和,然后再对真分式进行部分分式展开.部分分式的各个系数可以通过待定系数法来确定.下面分几种不同情况介绍.

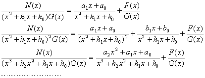
[线性因子重复]

1o

式中N(x)的最高次数rm-1A0A1LAm-1为待定常数,可由下式确定:

2o

式中A0A1LAm为待定常数,可由下式确定

s-1

其系数fjm有关,由下表确定:

m

fj (j=0, 1, 2, L , k; ks-1)

1

2

3

M

L L L L L L L L

m

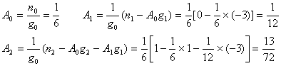
解 依上述公式算出

此时m=3

所以得到

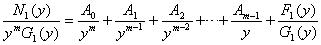
3o

作变换y=x-a,则N(x)=N1(y), G(x)=G1(y), 上式变为

用上述1o2o的方法确定出A0, A1, L , Am-1F1(y)再将y=x-a代回.也可按下式来确定系数A0, A1, L , Am-1

[线性因子不重复]

1o

式中N(x)的最高次数r2a¹ b¹ cA, B, C为待定常数,可由下式确定:

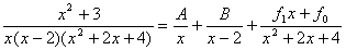
2o

式中多项式F(x)的最高次数ks-1A, B为待定常数,用下式确定:

A, B确定后,再用等式两边多项式同次项系数必须相等的法则来确定F(x)的各项系数.

依上述公式算得

A,B代入原式,通分并整理后得

比较等式两边同次项系数得

所以有

[高次因子]

[计算系数的一般方法]

1o 等式两边乘以D(x)化为整式,各项按x的同次幂合并,然后列出未知系数的方程组,解出而得.

2o 等式两边乘以D(x)化为整式,再把x用简单的数值(x=0, 1, -1)代入,然后列出未知系数的方程组,解出而得.