(二)加权法《预防医学》

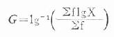
(二)加权法

当观察值个数n较多时,先将观察值分组归纳成频数表,再用公式(18.5)计算。

公式(18.5)

式中,X为各组段的效价或滴度的倒数(等比级数资料时)或各组段的组中值(对数正态分布资料时);f 为各组段所对应频数。

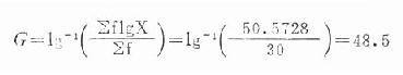
例18.430名麻疹易感儿童接种麻疹疫苗一个月后,血凝抑制抗体滴度如表18-3第(1)、(2)栏,试求其平均抗体滴度。

30名麻疹易感儿童免疫后的平均血凝抑制滴度为1:48.5。

上一页:(一)直接法
当前页:(二)加权法
下一页:三、中位数(median)

返回目录