三、两组资料样本均数的比较《医学统计学》

三、两组资料样本均数的比较

在日常工作中,我们经常要比较某两组计量资料的均数间有无显着差别,如研究不同疗法的降压效果或两种不同制剂对杀灭鼠体内钩虫的效果(条数)等。这时假若事先难以找到年龄、性别等条件完全一样的人(或动物)作配对比较,那么不能求每对的差数只能先算出各组的均数,然后进行比较。两组例数可以相等也可稍有出入。检验的方法同样是先假定两组相应的总体均数相等,看两组均数实际相差与此假设是否靠近,近则把相差看成抽样误差表现,远到一定界限则认为由抽样误差造成这样大的相差的可能性实在太小,拒绝假设而接受H1,作出两总体不相等的结论。

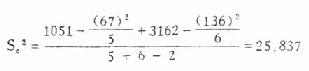
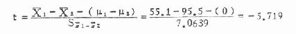
例7.4 为观察中成药青黛明矾片对急性黄疸肝炎的退黄效果,以单用输液保肝的病人作为对照进行了观察,两组患者均为成人,黄疸指数在30-50之间,各人退黄天数如下,试比较用药组(1组)与对照组(2组)退黄天数有无显著差别。

表7.3 急性黄疸性肝炎病人的退黄天数

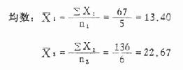
中药组,X1510142117 ∑X1=67
对照组,X2182130232222∑X2=136

(1)检验假设 设该药对缩短退黄天数无效,两组的总体均数相等,即H012;H1:μ1≠μ2

(2)求自由度ν

ν=n1+n2-2

=5+6-2=9 (7.1)

定α=0.05,ν=9时的t值为t0.05,9=2.262

(3)计算各组均数,合并方差S2c及两均数相差的标准误Sχ1-χ2,然后求t值。

合并方差:

(7.2)

代入得

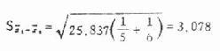
两均数相差的标准误:

 (7.3)

代入得

求t:

(7.4)

(4)下结论 因│t┃>t0.05,9,P<0.02,所以我们在α=0.05水准处拒绝H0而接受H1,两者平均退黄天数和有显著差别,服青黛明矾片药的病人退黄天数较短。如果检验假设属实,这样的结论也还可能下错,但概率在2%以下。

上例为两组资料均数间的比较,与前面成对资料的t检验有些区别。前者每对中两数据不能分离,后者任一组中的各数据可以在组内前后互换位置;前者只有一个样本平均差数d对应于一个假设的总体平均差数μ0,后者,认为X1为第一个总体的随机样本均数,X2则来自μ2,所以后者要计算两组合并的方差S2c(方差是标准差的平方)。再者,与前者相比标准误、自由度的计算方法也不相同。

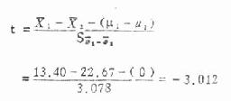
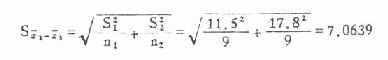
例7.5 某人测定半岁至1岁小儿、7至8岁儿童各9人的免疫球蛋白IgG(国际单位/ml),算得平均数与标准差前者(第1组)为55.1± 11.5,后者(第2组)为 95.5 ±17.8,试检验这两种不同年龄的人免疫球蛋白IgG有无显著差别。

(1)检验假设H0:μ12;H1:μ1≠μ2

(2)令α=0.01,查自由度ν=9+9-2=16时的临界值,得t0.01,16=2.921

(3)求统计量 已知X1=55.1,X2=95.5,至于求t值时作为分母的标准误,在暂缺原始数据时由已知的两个标准差先推算出合并方差Sc2进而求出Sχ1-χ2即可,方法如下;

①一般方法;根据标准差算式

于是

由式(7.2)

由式(7.3)

②在两组例数相等时也可直接用S1、S2代入下式求Sχ1-χ2,结果一样。

现已有了均数及标准误可由X1、X2、Sχ1-χ2求出t值。

(4)结论 │t│>=5.719>t0.01,16=2.921,P<0.001,在α=0.01水准处拒绝H0,接受H1,两年龄组的人免疫球蛋白IgG的均数相差显著,7-8岁组的高于小几组。

关于检验水准α定在0.05还是0.01或其它处,要看检验者事先对结论的可靠性要求之高低而定。本例定α=0.01,要求是较高的,最后查出P值小于0.001就更说明X1-X2=-40.4随机来自μ12=0的假设总体的可能性是很小的。

上一页:二、成对资料样本均数的比较
当前页:三、两组资料样本均数的比较
下一页:第二节 u检验